-
- Tổng tiền thanh toán:
Chúng tôi luôn ở đây để hỗ trợ quý khách hàng...
Cảm biến quang E3FA-DN13 2M Loại phản xạ khuếch tán.10-30VDC, Khoảng cách phát hiện 1M, Đầu ra NPN
Thông Số Kỹ Thuật :
| Phương pháp cảm biến | Phản xạ khuếch tán |
|
Chế độ hoạt động |
Ngõ ra NPN Có thể chọn Light-ON/Dark-ON |
|
Khoảng cách cảm nhận |
1M |
|
Đối tượng cảm nhận |
- |
|
Nguồn sáng (bước sóng) |
Đèn LED đỏ |
|
Thời gian đáp ứng |
Đang hoạt động hoặc đặt lại : tối đa 0.5 ms |
|
Điện áp |
10 - 30 VDC |
|
Nhiệt độ môi trường |
-25 đến 55 ° C (không đóng băng hoặc ngưng tụ) |
|
Tiêu chuẩn |
IP67 |
|
Phương thức kết nối |
Chiều dài cáp tiêu chuẩn: 2 m |
|
Chất liệu vỏ |
ABS (Acrylonitrile Butadiene Styrene) |
| Phụ kiện kèm theo | Sách hướng dẫn sử dụng, 2 con tán ( bằng nhựa ) |
Các thông số kỹ thuật và kích thước của một số bộ phận có thể không được liệt kê đầy đủ. Để biết chi tiết chính xác, hãy tải về " Tài liệu PDF " bên trên.
Kích Thước E3FA-DN13 2M :

Sơ Đồ Đấu Dây E3FA-DN13 2M :

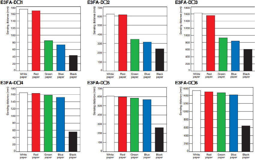
* Đối với Loại phản xạ khuếch tán, màu sắc của vật thể có thể ảnh hưởng đến khoảng cách cảm nhận:
Bảng tham khảo :
